반도체 이론에서 궁극적으로 중요한 것은 반도체 소자의 전류-전압 특성을 설명하는 것입니다. 이때 전류는 전하의 흐름에 의한 것으로 이를 이해하기 위해서는 반도체의 전도에 참여하는 전자와 정공의 concentration을 알아야 합니다. 이때 캐리어의 concentration은 다음과 같이 나타낼 수 있습니다.
캐리어의 농도=∫[허용된 에너지 상태(state)의 밀도 × 에너지 상태를 채울 확률]dE
파울리 배타원리에 의하면 하나의 전자만이 하나의 양자 상태를 차지할 수 있기 때문에 양자 상태의 수가 많으면 이는 곧 전자의 수가 많음을 나타낼 수 있습니다. 따라서 캐리어의 농도는 허용 에너지 상태들을 나타내는 에너지 상태 밀도 함수 (energy density of states function, g(E) [cm-3·eV-1])와 해당 에너지 상태를 차지할 확률 분포 함수 (probability distribution function, f(E))의 곱을 전체 에너지 밴드에 대해 적분한 값에 해당합니다.
g(E)와 f(E)를 각각 식과 그래프로 나타내자면 아래와 같습니다.
전자가 존재할 수 있는 에너지 레벨이 양자화되어 있기 때문에 이를 함수로 나타낸 것이 바로 g(E)입니다. 위의 그림에서 g>C와 gV는 각각 전도대와 가전자대의 에너지 E에서의 에너지 준위 밀도를 나타냅니다. 이들은 각각 EC와 EV에서 가장 밀도가 낮고, EC와 EV로부터 멀어질수록 밀도가 높아집니다.
f(E)는 에너지 E에 있는 하나의 양자 상태를 전자가 차지할 확률을 나타냅니다. f(E) 그래프를 보면 EF(fermi level)라는 에너지 레벨이 존재하는 것을 알 수 있습니다. T = 0 K의 경우에서는 E > EF 인 경우엔 f(E) = 0, E < EF 인 경우엔 f(E) = 1이 되기 때문에 이때 EF는 전자가 가질 수 있는 최대 에너지 레벨이 됩니다. 하지만 T > 0 K의 경우에는 그래프에서 보이는 바와 같이, f(E)=1/2, 즉 전자가 존재할 확률이 50%가 되는 지점을 나타냅니다.
정리하자면,
Fermi level은 임의 온도 T (T > 0 K)에서 전자가 존재할 확률이 1/2인 에너지 준위 혹은 T = 0 K에서 전자가 가질 수 있는 최대 에너지 준위를 의미합니다.
Fermi level이 중요한 이유는 다음과 같습니다. E > EF인 경우에는 전자가 존재할 확률이 감소하게 되고, E < EF이면 전자가 존재할 확률이 증가하게 됩니다. 즉, EF는 전자의 농도를 추정할 수 있는 단서가 되는 것입니다.
추가적으로 Fermi level은 평형상태일 때 일정하다는 특성을 갖습니다.
이때 '평형상태'라는 것은 전압, 전계, 자기장 혹은 온도 기울기와 같은 외부 힘이 반도체에 작용하지 않는 상태를 의미합니다. 따라서 이러한 경우에는 반도체의 모든 성질이 시간에 따라 변화하지 않는 특성을 보입니다. Si 내부의 EC와 EV 사이에서 전자와 정공은 generation과 recombination을 계속해서 반복합니다. 하지만 평형상태인 경우 외부에서 볼 때 이 두 과정이 완벽하게 균형을 이루고 있기 때문에 전자와 정공의 농도는 항상 같게 유지됩니다. 평형상태의 전자, 정공의 농도는 n0, p0으로 표현되고, n0 = p0에 해당합니다.
평형상태일 때의 전자와 정공의 농도는 위에서 구한 g(E)과 f(E)을 바탕으로 알아낼 수 있습니다. 위에서 캐리어의 농도는 f(E)와 g(E)의 곱을 적분하여 구할 수 있다고 했는데, 다음과 같이 나타낼 수 있습니다.
위의 식에서 알 수 있는 것은, 앞에서 언급한 것과 같이 EF의 위치로 전자와 정공의 농도를 파악할 수 있다는 사실입니다.
반도체의 정의에 대해 추가적으로 알아보겠습니다. 반도체 물질 중 가장 대표적인 Si는 4족 원소이며 Si 원자들끼리 공유 결합을 통해 결정 구조를 이룹니다. 이처럼 불순물이나 결함이 거의 존재하지 않는 반도체를 진성반도체 (intrinsic semiconductor)이라고 합니다. 이러한 진성반도체에서 만약 온도가 0 K에 해당한다면, 전자의 열생성이 없기 때문에 전자가 반도체의 공유결합 내에 묶여있게 됩니다. 따라서 0 K에서는 캐리어의 농도가 0이 됩니다. 하지만 T > 0 K가 되면 열생성에 의해 electron-hole pair 가 생성되는데, 위에서 설명한 바와 같이 평형상태일 때는 전자와 정공의 농도가 동일하고, 이 는 ni (intrinsic carrier concentration)과 같습니다.
n0 = p0 = ni, n0p0 = ni2 (ni @ 300K = 1.5 × 1010 [cm-3] )
참고로 진성반도체에서 전도대의 전자농도와 가전자대의 정공농도는 동일합니다. 진성반도체의 전자와 정공농도를 각각 ni, pi라고 표시합니다. 하지만 진성반도체에서는 ni = pi 이기 때문에 간단히 ni를 진성캐리어농도라 하며, 이는 진성전자와 정공농도를 동시에 의미합니다.
진성반도체의 페르미에너지 준위를 진성 페르미 에너지라고 하며, Ei (혹은 EFi)라고 표현합니다. 이를 이용하여 평형상태의 ni에 대한 식을 나타내보도록 하겠습니다.
여기서 ni-Eg, ni-T 사이의 관계를 알 수 있습니다. 아래의 그림과 같이 온도가 증가할수록 ni가 증가합니다. 이를 정성적으로 이해해보자면 온도, 즉 열적 E가 증가하게 된다면 공유 결합을 깨고 나온 electron-hole pair가 증가하게 되므로 ni가 증가하는 것을 알 수 있습니다. 또한 추가적으로 T = 300 K일 때의 ni는 1.5 × 1010 [cm-3]에 해당한다는 사실을 알 수 있습니다.
반대로 ni는 Eg에 반비례합니다. 따라서 Eg가 Si의 1.12 eV보다 큰 1.42 eV인 GaAs는 Si보다 낮은 ni 값을 갖지만 0.67 eV인 Ge는 Si보다 높은 ni 값을 갖습니다.
또한 추가적으로 Ei의 위치를 정확하게 구할 수 있습니다. 이는 ni=pi, 즉 ni/pi = 1으로 부터 유도할 수 있지만 이를 생략하고 결과만 설명드리자면, Ei=1/2(EC+EV)+3/4kTln(m*p/m*n)에 해당하고 두 번째 항은 Si에서 -0.0128 eV에 해당합니다. (m*p= 1.08 m0, m*n= 0.56 m0 대입)이는 Si의 Eg의 절반 값(=1/2(EC+EV))인 0.56 eV에 비하면 매우 작은 값이기 때문에 진성 페르미 준위는 밴드갭 중앙에 위치한다고 근사할 수 있습니다.
이제까지 진성반도체의 특성에 대해 살펴보았습니다. 하지만 실제 반도체는 소량의 특정 도펀트 혹은 불순물 원자를 첨가하는 과정을 거쳐 사용됩니다. 이러한 도핑공정은 반도체의 전기적 특성을 크게 변화시킬 수 있는데요, 이러한 반도체를 외인성반도체 (extrinsic semiconductor)라고 합니다. Si에서 이러한 도펀트로는 크게 두 가지 종류가 있습니다.
먼저, 15족 원소인 P, As를 도펀트로 사용하는 경우입니다. 이 원소들은 5개의 최외각 전자를 갖습니다. 이러한 P, As 원소가 (이제부터는 P라고 가정해보겠습니다.) Si 원소를 치환하여 격자 안에 포함된다면, 5개의 전자 중 4개는 실리콘 원자와 공유결합하게 되고 나머지 1개의 전자는 P 원자와 느슨하게 결합되어 남게됩니다. 이러한 5번째 가전자를 donor 전자라고 부르고, 이러한 donor 전자는 아주 낮은 온도에서는 P 원자에 결합되어 있습니다. 하지만, 열에너지와 같은 작은 에너지가 donor 전자에 가해지면 양전하를 띤 P 이온을 남기고 (중성이 P 원자에서 전자 하나를 잃기 때문에 양전하를 띠게 됨; fixed charge) donor 전자는 전도대로 이동하게 됩니다. 에너지 밴드를 확인해보면, Ed의 에너지 준위를 갖는 donor 전자에 작은 에너지를 가해주면 donor 전자를 전도대로 상승시킬 수 있는 것을 알 수 있습니다. 이러한 불순물 원자는 가전자대에 정공을 형성하지 않고 전도대에 전자를 제공하기 대문에 donor impurity 라고 하며 이러한 반도체를 n 형 반도체라고 합니다.
반대로 13족 원소인 B, In는 3개의 최외각 전자를 갖습니다. 이러한 원소들을 도펀트로 사용한다면 3개의 최외각 전자는 공유결합에 모두 참여하지만, 한 개의 빈 자리를 갖게 됩니다. 이때 약간의 에너지가 가해진다면 주변의 전자가 이러한 빈 자리를 채우게 되고, 중성의 B 원자는 전자를 얻어 음전하를 띠는 이온이 됩니다. 그리고 원래 이동해온 전자가 원래 존재한 곳은 빈자리가 되는데, 이 자리를 반도체의 정공으로 생각할 수 있습니다. 에너지 밴드를 통해 설명하자면 Ea의 에너지 준위를 갖는 빈 자리를 약간의 에너지를 받아 전자가 채우게 되고, 그로 인해 가전자대에 정공이 형성되는 것을 알 수 있습니다. 따라서 이러한 3족 원소는 가전자대로부터 전자를 받아들이기 때문에 acceptor impurity 원자라고 하며 전도대에 전자를 생성하지 않고 가전자대에 정공을 생성합니다. 이때의 반도체는 p형 반도체라고 합니다.
이때 중요한 것은 불순물을 주입한다고 무조건 전자나 정공이 생성되는 것이 아니라는 것입니다. Ionization energy에 해당하는 에너지가 가해져야만 추가적인 캐리어가 생성될 수 있습니다. 이때의 ionization energy를 살펴보면 다음과 같습니다.
상온에서의 열적 에너지는 0.0026 eV에 해당하는데요, 표와 비교해보자면 ionization energy는 이와 비슷하거나 조금 높은 값을 갖습니다. 즉, 상온에서도 거의 모든 도펀트 원자들은 이온화된다는 것입니다. 특히 실제 반도체 공정에서는 donor나 acceptor를 주입한 후 약 1,000℃의 열처리 과정을 진행합니다. 결국 모든 dopant 원소들이 모두 이온화되는 것으로 가정할 수 있다는 의미입니다.
그렇다면 extrinsic semiconductor에서 캐리어의 농도는 어떻게 될지 살펴보겠습니다.
반도체에 donor와 acceptro impurity를 첨가하면 전자와 정공의 에너지 분포를 변화시키게 됩니다. 이때 페르미 에너지는 분포함수와 관계되기 때문에 페르미 에너지도 변화하게 됩니다. 이를 아래의 그림과 같이 표현할 수 있습니다.
왼쪽의 경우와 같이 EF > Ei가 된다면 전자의 농도가 정공의 농도보다 커지게 됩니다. 이는 donor impurity가 첨가된 n형 반도체에 해당합니다. 반대로 오른쪽 그림과 같이 EF < Ei가 된다면 정공의 농도가 전자의 농도보다 커지게 되고, 이는 acceptor impurity를 첨가한 p형 반도체를 나타내게 됩니다.
이를 다음과 같이 정리할 수 있습니다.
n-type 반도체: ND (donor impurity의 농도) > 0 , NA (acceptor impurity의 농도) = 0
n0 > p0
majority carrier = electron, minority carrier = hole
n0 = ni + ND , n0 ∽ ND (ND가 1015 cm-3라고 가정한다면 ND ≫ ni)
p0 = ni2/n0
p-type 반도체: NA > 0 , ND = 0
p0 > n0
majority carrier = hole, minority carrier = electron
p0 = ni + NA , n0 ∽ NA (NA가 1015 cm-3라고 가정한다면 NA ≫ ni)
n0 = ni2/p0
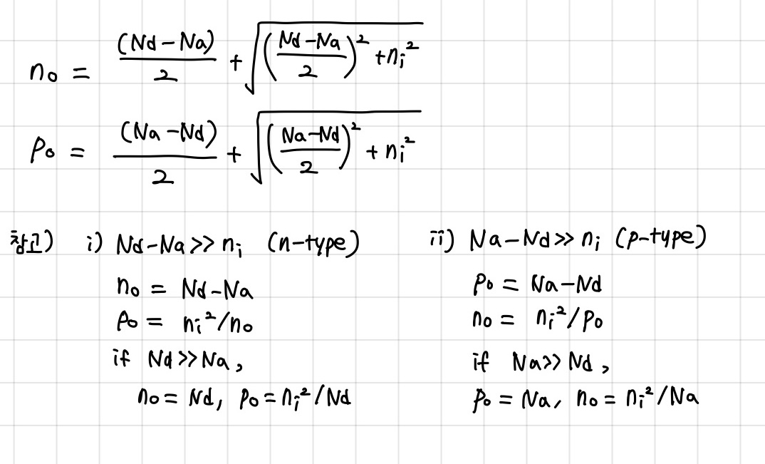
이때 n-type에서의 p0, p-type에서의 n0는 아래와 같이 n0와 p0의 곱이 열적 평형 상태에서 항상 constant한 특성을 이용해 구할 수 있습니다. (mass action law)
다음은 extrinsic semiconductor에서 캐리어 농도를 나타내는 식을 알아보겠습니다. 이때 기본 가정은 열평형상태에서 반도체는 전기적으로 중성이라는 것입니다. 이때 compensated semiconductor를 정의할 수 있는데, 이 보상반도체는 같은 영역에 donor와 acceptor impurity를 함께 도핑한 반도체입니다. 이러한 보상반도체에서도 평형상태가 되면 전기적으로 중성을 띠게 되는데, 이를 통해 다음과 같은 식을 정의할 수 있습니다.
n0 + Na- = p0 + Nd+
여기서 Na와 Nd는 각각 accpetor, donor impurity 농도를 나타내는데요, 이온화에너지를 통해 각각 정공과 전자를 형성하고나면 음전하, 양전하를 띠게 됩니다.
이 식에 n0p0 = ni2를 대입하면 다음과 같은 식이 정의됩니다.
앞에서 ni가 T가 증가함에 따라 exponential 하게 증가하는 것을 확인하였습니다. 이번에는 T에 대한 n0의 변화를 살펴보겠습니다.
위의 그림과 같이 T가 0 K이거나 작을 때에는 이온화되지 못한 dopant들이 존재합니다. 따라서 온도가 증가함에 따라 이온화되는 dopant들이 증가하면서 n0도 증가하게 됩니다. 온도가 더 증가하게 되면 주입된 dopant들이 모두 이온화 됨에 따라 n0 값은 ND로 고정되게 됩니다. 이때 ni도 온도가 증가함에 따라 전자-정공 쌍을 생성하며 증가하긴 하지만 여전히 ND ≫ ni이기 때문에 n0 값은 유지됩니다. 하지만 온도가 더 높아지게 되면, 온도에 따라 ni가 증가하는 것이 더욱 지배적이게 되고, 따라서 n0 값도 온도에 따라 증가하게 됩니다. 이때 결국 extrinsic 특성을 잃고 intrinsic 특성을 갖게 됩니다.
마지막으로 extrinsic semiconductor에서 페르미 에너지에 대해 알아보겠습니다.
위의 그림과 같이 페르미 에너지는 다양한 식을 통해 나타낼 수 있습니다. 이를 통해 알 수 있는 것은 dopant의 농도를 알면 페르미 에너지의 위치를 알 수 있다는 것입니다. 그림과 같이 Nd의 농도가 높아지면 EF는 EC에 가까워지고, Na의 농도가 높아지면 EF는 EV에 가까워 집니다.
또한 위에서 설명한 바와 같이, 온도가 증가하면 extrinsic semiconductor는 외인성을 잃고 intrinsic 성질을 갖게 되기 때문에 온도가 증가함에 따라 EF도 Ei에 가까워지게 되는 것을 알 수 있습니다.
다음 글에서는 반도체 내의 캐리어 운동에 대해서 설명하도록 하겠습니다~~
참고
NEAMAN의 반도체 물성과 소자
youtube: Sungho Kim 물리전자공학 영상
'반도체 기초' 카테고리의 다른 글
반도체 기초(4)- semiconductor in nonequilibrium (2) | 2024.12.02 |
---|---|
반도체 기초(3)- carrier transport in semiconductor (2) | 2024.11.26 |
반도체 기초(1)- energy bands (5) | 2024.11.20 |