반도체 소자

반도체 소자(2)- pn diode

by 멤오리 2024. 12. 10.


지난 pn juncton 글에서는 thermal equilibrium, reverse-bias 하에서의 pn junction의 특성을 확인하였습니다.
이번 글에서는 forward-bias 하에서의 pn junction에 대해 주로 이야기하고, pn junction의 I-V 특성에 대해 다뤄보겠습니다.

아래 그림과 같이, forward bias가 인가되면 pn junction에 존재하는 built-in potential, 내부 전위 장벽의 높이가 낮아집니다. 그렇게되면 각 영역의 majority carrier에 해당하는 carrier들이 diffusion에 의해 반대 영역으로 이동하게 됩니다. 이렇게 반대 영역에 excess carrier를 형성하게 되고 이 carrier들은 반대 영역에서 minority carrier로 존재하게됩니다. Minority carrier들은 농도 구배에 의한 diffusion에 의해 접합에서 먼 방향으로 계속해서 이동합니다. 이때 minority carrier들은 diffusion되면서 해당 영역의 majority carrier에 의해 recombination되며 결국 접합에서 먼 곳에서는 thermal equilibrium 상태에서의 carrier 농도와 같은 값을 갖게 됩니다.


각 영역에서는 minority carrier의 diffusion으로 인한 diffusion current 성분이 존재하게 됩니다.
이때 drift에 의한 current 성분은 없는 것인지 의문이 드실 텐데요, 일단 이번 글에서는 neutral region에서는 E.field = 0 이라고 가정하고 있기 때문에 diffusion current 성분만 고려하게 됩니다!
또한, 여기서는 low-level injection 상태를 가정하는데요, 이 상태에서는 nn ~ nn0, pp ~ pp0 이기 때문에 minority carrier에 대해서만 고려하는 것입니다.


계속해서 minority carrier에 의한 current를 정의하기 위해서, 먼저 minority carrier를 식으로 정의해보겠습니다.
첫 번째로 이번 글에서 사용할 term과 notation에 대해 아래와 같이 정의하고 넘어가도록 하겠습니다.




각각의 반대 영역에 존재하는 minority carrier의 농도는 아래 과정을 통해 나타낼 수 있습니다.




따라서 이를 통해 경계 조건에서의 excess carrier의 농도도 구하자면 아래와 같습니다.

 

그렇다면 x에 대해 excess carrier 의 농도를 나타내면 어떻게 될까요?
계산 과정을 생략하고 나타낸다면 아래와 같습니다.


이때  한 가지의 가정을 했는데요, 바로 long pn-diode를 가정하였습니다. 이는 neutral 영역의 폭이 carrier의 diffusion length보다 충분히 길다고 가정하는 것입니다. 따라서 접합에서 충분히 멀리 떨어져 있게 된다면 pn은 pn0 (thermal equilibrium일 때)가 됩니다.

이를 그림으로 나타내자면 아래와 같습니다.



만약 short pn-diode 상황에선 어떻게 될까요?


위의 그림처럼 n 영역의 폭이 minority carrier인 정공의 diffusion length보다 작을 때, boundary condition 값이 달라지게 됩니다.
이를 이용해서 계산한다면 excess carrier의 농도는 x에 대해 linear한 관계를 가져 오른쪽 그림과 같은 profile을 나타내게 됩니다.
 


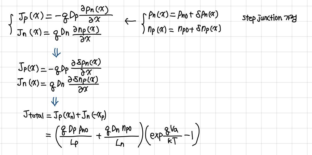
pn diode에서의 current density에 대해 나타내보자면 다음과 같습니다.


Junction의 total current는 depletion region 내에서 일정한 electron, hole current의 합으로 정의할 수 있습니다.

Electron, hole current는 연속적이기 때문에 결국 total current는 x = xn 에서의 minority carrier hole diffusion current과 x = -xp에서 minority carrier electron current의 합이 됩니다.

위에서 가정한대로 neutral region에서는 E = 0이기 때문에 drift에 의한 current 성분은 고려하지 않고 minority carrier의 diffusion current만 고려합니다.
 

따라서 아래와 같은 과정을 거쳐 Jtotal을 정의할 수 있습니다. (계산 과정 생략)


 
이를 그래프를 통해 나타내면 다음과 같습니다.

양의 Va가 인가되면 pn junction diode의 current density는 exponential하게 증가하는 것을 알 수 있습니다.

또한 음의 Va가 인가될 때 -Js에 해당하는 약한 음의 포화 전류만이 흐르는 것을 알 수 있는데요, 이는 오른쪽 식에서 보면 exp 항 앞의 상수와 같은 값으로, reverse-saturation current density로 정의됩니다.


지금까지의 내용을 간단하게 요약하자면 forward bias가 인가될 때 낮아진 potential barrier로 인해 전자와 정공들이 diffusion되고 이렇게 diffusion된 carrier들은 minority carrier가 되어 diffusion 되면서 majority carrier들과 recombination되는 과정을 겪습니다. 
위에서 정의한 것과 같이

Jp(x) ∝ exp(-x), Jn(x) ∝ exp(x) 의 관계를 갖기 때문에 minority carrier diffusion current는 junction에서 멀어질수록 exponential하게 감소합니다.

하지만, pn junction에 흐르는 total current는 일정한 값을 갖습니다. 그렇다면 total current와 minority carrier diffusion current 사이의 차이는 무엇일까요?
이는 바로 majority carrier의 drift current 입니다. Majority carrier는 junction에서 먼쪽으로부터 p 영역에서는 정공을, n 영역에서는 전자를 junction 쪽으로 이동시키는 drift current를 발생시킵니다. 이는 minority carrier와의 recombination, 혹은 depletion region으로 injection된 carrier들로 인해 감소한 carrier들을 공급하는 역할을 한다고 이해할 수 있습니다.
이를 그림으로 나타내면 다음과 같습니다.


 

여기서 또 추가적으로 의문점이 생길 수 있는데요, reverse bias에서 전류가 아예 흐르지 않는 것이 아니라 -Js의 전류가 흐르는 이유에 대해서 설명해보겠습니다.

Reverse bias에서는 음의 Va 값이 인가되므로 x = xn, x= -xp에서 minority carrier의 농도는 0에 가깝게 됩니다. 즉, junction에서 먼쪽으로부터 junction 쪽으로 carrier가 감소하는 profile이 형성되고, 이에 따라 junction 쪽으로의 diffusion이 발생합니다. 

이렇게 diffusion된 carrier들은 depletion region의 높은 E-field (reverse bias에 의한)에 의해 강하게 반대 영역으로 이끌려 들어가게 됩니다. 이렇게 carrier들의 이동으로 인한 current가 발생하지만 이들은 minority carrier의 이동이기 때문에 작은 값에 해당합니다.
 


다음은 pn diode에서의 non-ideal effects에 대해 이야기 해보겠습니다.
 
지금까지 pn diode의 current를 정의할 때 가정했던 내용 중 low-level injection이라는 개념이 있었습니다. 이로 인해 majority carrier의 농도는 거의 변하지 않고 그대로 유지되었습니다.
하지만 high-level injection을 가정한다면 어떻게 될까요?

위의 식에서처럼 high-level injection을 가정하면 nn0δnp, pp0  δpn 이 되어 carrier의 농도를 표현하는 식에 변화가 생기게 됩니다. 기존의 low-level injection 상태를 가정했을 때는 I (or J)가 qVa/kT에 비례했지만, high-level injection에서는 qVa/2kT에 비례하게 됩니다. 즉, 전압 증가에 대한 전류 증가 폭이 감소하는 것을 알 수 있습니다.

 
Recombination도 current에 영향을 미치는 요소입니다.

그림처럼 forward bias 하에서 carrier들이 diffusion되어 반대 영역으로 이동할때, depletion region에서 두 carrier가 서로 만나 recombination이 발생합니다. 이렇게 되면 diffusion current를 발생시키는 carrier의 수가 감소하기 때문에 current도 감소하게 됩니다. 이때, recombination에 의한 영향은 Va가 작을 때 더 큰 경향을 보입니다. 이는 Va가 작을 때는 diffusion 되는 carrier 중 recombination 되는 carrier의 비중이 더 큰 반면, Va가 커질수록 그 비중은 줄어들기 때문입니다.

 
따라서 위의 두 가지 non-ideal effects를 고려하여 (log)I-V curve를 나타내면 다음과 같습니다.


Recombination과 high-level injection 상태에서는 그래프의 기울기가 ideal한 상태보다 작아지는 것을 확인할 수 있습니다.
 
추가적으로 generation에 의한 current 변화도 살펴보겠습니다.


Reverse bias 하에서 depletion region에서 generation이 발생한다면 전자와 정공 쌍이 생성되게 됩니다. 이렇게 생성된 전자와 정공은 E-field에 의해 각각 n, p 영역으로 drift되어 이동합니다. 이로 인해 ideal 상태에서의 current보다 음의방향으로 더 큰 generation current가 발생하는 것을 알 수 있습니다.
 


마지막으로 diffusion capacitance에 대해 정리하고 마무리하겠습니다.
pn junction 마지막 부분에서도 depletion region에 의한 capacitance를 정의했었는데요, forward bias가 인가될 때에도 diffusion capacitance를 정의할 수 있습니다. pn diode에 forward bias가 인가될 때 이 전압이 AC로 인가된다면 diffusion되는 minority carrier 수도 변화하게 됩니다. 즉, diffusion에 대한 cap 성분을 정의할 수 있게 되는데요.


Cdiff에 대한 관계식을 살펴보면 exp(V) 값에 비례하는 것을 알 수 있었습니다.
반대로, Cdep 값은 (1/√V)에 비례합니다.

pn diode에서는 Cdiff와 Cdep이 서로 병렬로 연결되어 있는 형태라고 볼 수 있겠습니다. 따라서 두 capacitance 성분을 합하여 Ctotal을 아래와 같이 정의할 수 있습니다.


 
MOSFET 단원에서도 나오겠지만, 이러한 capacitance 성분은 high frequency 동작, 스위칭 및 동작 속도에 영향을 미치기 때문에 꼭 알아둘 필요가 있는 내용입니다.
 
다음 글에서는 MS junction에 대해 공부해보도록 하겠습니다~
 
참고
NEAMAN의 반도체 물성과 소자 4판
youtube| Sungho Kim 

'반도체 소자' 카테고리의 다른 글

반도체 소자(6)- MOSFET ①  (1) 2024.12.29
반도체 소자(5)- MOS capacitor ②  (0) 2024.12.18
반도체 소자(4)- MOS capacitor ①  (1) 2024.12.18
반도체 소자(3)- MS junction  (0) 2024.12.12
반도체 소자(1)- pn junction  (2) 2024.12.06